1.1 좋은 따뜻한 가장자리
절연 유리의 에지 밀봉 재료에는 알루미늄 스트립, 강철 및 스테인레스 스틸 재료, 유기 실리콘 재료 등이 포함됩니다. 재료의 열전도율이 다르기 때문에 절연 유리의 가장자리에 형성된 열전도 또한 크게 다릅니다. 표 1 은 절연 유리에 사용되는 상이한 유형의 재료의 열전도도를 나타낸다.
다른 재료의 표 1 열 전도도:
재료 과학 | 열전도도 [W/(m * K)] |
알루미늄 | 160 |
스틸 | 50 |
스테인레스 스틸 | 17 |
유리 | 1 |
실리콘 실란트 | 0.35 |
TPS 재질 (부틸 고무 유형) | 0.3 |
다른 유형의 재료로 구성된 에지 밀봉 시스템은 다른 열 전도성 효과를 생성합니다. 열가소성 스페이서 (TPS) 는 전통적인 절연 유리 스페이서에 사용되는 알루미늄 및 스테인레스 스틸과 같은 우수한 열 전달 금속을 버립니다. TPS로 만든 절연 유리의 선형 열전도 계수는 기존 제품보다 훨씬 낮습니다. 유리 가장자리에서 열 발산을 차단하고 전체 창의 에너지 절약 효과를 향상시킵니다.
그림 1 은 열 이미징에서 전통적인 슬롯 알루미늄 절연 유리와 열가소성 스페이서 TPS 절연 유리의 비교를 보여줍니다. 그림 1 에서 전통적인 가장자리 밀봉 시스템에서 알루미늄 및 기타 금속 재료를 스페이서 재료로 사용하기 때문에 열전도율이 높다는 것을 알 수 있습니다. 이는 열이 에지 밀봉 영역으로부터 절연 유리를 통해 통과하기 쉽고, 에지에서의 온도가 낮아진다.
그림 1
사람들의 삶의 질이 향상됨에 따라 편안한 생활 환경에 대한 수요도 증가하고 있습니다. 열가소성 장벽 (TPS) 밀봉 시스템으로 인한 따뜻한 가장자리 효과는 실내 온도를 안정화시키고 공기 대류를 감소시키고보다 편안한 실내 환경을 제공하는 데 도움이됩니다. 따뜻한 가장자리 시스템의 존재로 인해 창 유리의 가장자리에서 물 미스트의 응축을 줄이고 창 프레임의 유지 보수 비용을 낮 춥니 다 (그림 2 참조)
그림 2
1.2 낮은 수증기 투과성
열가소성 스페이서 (TPS) 는 직접 압출 성형을 위해 분자 체와 혼합 된 특수 부틸 고무를 채택하고 밀봉 재료의 일관성이 좋습니다. 동시에, 열가소성 스페이서와 유리 및 실리콘 접착제 사이의 밀접한 화학적 결합으로 인해 중공 유리 구조는보다 안정적이며 결합이 더 단단합니다. 표 2 는 상이한 밀봉 물질의 수증기 및 가스 투과성을 나타낸다. 부틸 고무 재료는 실리콘 고무 및 폴리 설파이드 고무보다 수증기 및 가스 장벽 능력이 우수하여 수증기의 유입과 가스 누출을 방지하는 더 나은 장벽을 형성한다는 것을 알 수 있습니다. 오랜 시간 동안 절연 유리의 밀봉 성능을 유지하고 에너지 절약 성능을 보장하는 데 도움이됩니다. (아래 그림 3 에서와 같이).

표 2 다른 밀봉 재료의 수증기 및 가스 투과율
재료 과학 | 가스 투과성 g/(m ² 24h) | 수증기 투과율 g/(m ² 24h) |
폴리 황화물 접착제 | 0.03-0.1 | 5-10 |
실리콘 접착제 | ≥ 20 | 15-20 |
부틸 고무 | 0.002-0.005 | ≤ 0.9 |
1.3 완전 자동 생산 공정
TPS 시스템의 절연 유리 생산은 유리 로딩, 유리 필름 제거, 청소 및 건조, 열가소성 스트립 코팅, 공압 라미네이션 및 외부 접착제 코팅에서 자동 시스템으로 한 번에 완료됩니다. 수동 조작으로 인한 오류 및 불일치를 피하고 높은 수준의 코너 밀봉을 달성하며, 전통적인 트로프 알루미늄 절연 유리의 열악한 코너 프레스 및 밀봉을 완전히 제거하고 모든 유형, 크기 및 모양의 절연 유리 생산에 적합합니다 (그림 7 에 표시됨).

그림 7 열가소성 스페이서 (TPS) 시스템의 절연 유리의 가장자리 결합
2.1 절연 유리에 대한 서비스 환경의 영향
그림 8 에서 볼 수 있듯이 절연 유리는 사용 중 다양한 외부 요인에 의해 영향을받습니다.

그림 8 절연 유리 사용 중 환경 영향 요인
특히, 주변 온도와 압력의 빈번한 변화로 인해 절연 유리의 공동 내의 가스는 항상 열 팽창 또는 냉간 수축 상태에 있습니다. 장기간의 스트레스를받는 실란트를 만드는 그림 9 에 나와 있습니다. 전통적인 이중 밀봉 시스템의 경우, 이 힘의 효과는 실란트의 기능의 변형과 손실로 이어질 것이며, 환경의 습기는 절연 유리의 가장자리에서 중간 구멍으로 끊임없이 침투합니다. 동시에 환경에서 자외선, 물 및 기타 부식성 가스의 효과는 실란트의 노화를 가속화합니다. 따라서 중간 공동으로 들어가는 수증기의 속도와 채워진 아르곤의 탈출을 가속화합니다. 이러한 종류의 수증기 침투는 언제든지 발생합니다. 가장자리 밀봉 시스템의 건조제는 결국 물 분자의 지속적인 흡착으로 인해 수증기 흡착 용량을 잃게됩니다. 이는 절연 유리의 공동에서 수증기 함량이 증가하고 밀봉 장애가 발생하여 에너지 절약 효과가 낮아집니다. 열가소성 스페이서 밀봉 시스템은 특정 탄성을 갖기 때문에 환경이 변할 때 에지 응력을 효과적으로 해제 할 수 있습니다. 동시에, 열가소성 스페이서는 밀봉 구조의 안정성을 보장하기 위해 하중에 의해 야기되는 변화에 저항하는 더 높은 응집력을 갖는다.

그림 9 전통적인 물마루 알루미늄 절연 유리
그리고 열가소성 스페이서 스트립 (TPS) 시스템의 사용 변화에 대한 개략도
새로운 에너지 절약 건물 개념의 수동 실내 유리에 일반적으로 사용되는 3 개의 유리와 2 개의 공동 단열 유리의 경우 (그림 10 에 표시됨), 절연 유리의 양쪽에있는 유리는 다른 ca의 작용을받습니다.부틸 고무의 변형으로 이어지는 더 큰 응력을 생성하고, 첫 번째 씰의 효과를 줄이고, 수증기 채널을 증가 시키며, 절연 유리가 더 빨리 고장납니다. 열가소성 스페이서의 밀봉 이점은 더욱 명백할 것이다.

그림 10 3 개의 유리와 2 개의 공동 단열 유리
실란트의 변화
절연 유리의 수명에 영향을 미치는 2.2 요소
주거용 건물의 GB50096-2011 규정의 요구 사항에 따라 건물의 수명은 50 년 이상이어야합니다. 건물의 중요한 부분으로서 문, 창문 및 커튼 월에 사용되는 절연 유리의 수명은 업계의 관심을 끌었습니다. GB/T11944-2012 절연 유리 표준의 부록 A "절연 유리의 고장 원인 및 서비스 수명" 에서 단열 유리의 예상 수명은 15 년 이상이어야한다고 언급되어 있습니다. 그러나 현재 중국의 절연 유리의 전반적인 밀봉 수명은 여전히 상대적으로 낮으며 일반 제조업체는 10 년 보증을 약속하지 않습니다. 따라서 우리는 여전히 표준 요구 사항 및 건물 사용 요구 사항에서 멀리 떨어져 있습니다.
위에서 언급했듯이 절연 유리의 수명은 가장자리 재료 (예: 스페이서, 건조제, 실란트) 의 품질 및 절연 유리의 제조 프로세스와 직접 관련이 있습니다. 절연 유리의 수명은 설치 조건 및 서비스 환경의 영향을받습니다.
3.1 우리는 외부 환경이 절연 유리의 수명에 미치는 영향을 도입했습니다. 외부 요인 외에도 절연 유리의 수명에 영향을 미치는 다른 요인은 무엇입니까? 가장자리 밀봉의 품질은 절연 유리의 밀봉 내구성과 직접 관련이 있습니다. 수증기 및 가스 투과성이 낮은 실란트를 사용하는 것이 핵심입니다. 이전 분석에서 우리는 열가소성 스페이서 스트립 (TPS) 이 매우 우수한 수증기 및 가스 장벽 용량을 가지고 있음을 알 수 있습니다. 절연 유리의 가장자리 밀봉에 사용되는 경우 절연 유리의 밀봉 내구성이 향상됩니다.
3 개의 유리와 2 개의 공동 단열 유리 시스템을 예로 들면, 도 11 에서 전통적인 트로프 알루미늄 절연 유리 실런트와 유리 및 스페이서 사이에 8 개의 본딩 인터페이스가 형성되었음을 알 수 있습니다. 열가소성 스페이서 스트립 (TPS) 사이에 단지 4 개의 결합 계면이 형성될 것이다 물개와 유리. 현재 국내 절연 유리 생산 수준과 장기 테스트 상황의 분석에서 실란트의 열악한 접착력, 유리와 스페이서 재료는 수증기와 가스의 통과로 이어지는 주요 경로입니다. 밀봉 재료의 수증기 및 가스 투과성이 동일한 조건에서 열가소성 스페이서 밀봉 시스템은 접합 표면의 감소로 인해 수증기 및 가스 전달 채널을 감소시킵니다. 절연 유리의 장기 내구성을 달성하기 위해.

그림 11 다른 절연 유리의 밀봉 및 결합 인터페이스 분석
2.3 중국의 절연 유리의 현재 품질 상태
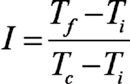
물 투과성 지수 (I) 절연 유리의 국가 표준에 사용) 그것은 절연 유리의 수증기 밀봉 수명을 나타냅니다. 표준에 따르면, I의 평균값은 0.2 보다 커야한다; 내구성 시험 후 아르곤 함량은 가스 씰 수명을 표현하는 데 사용됩니다.

T i 건조제의 초기 수분 함량
T f 건조제의 최종 수분 함량T
T c 건조제의 표준 수분 함량
물 투과성 지수 I 값은 무엇입니까? I 값은 절연 유리에 들어가는 외부 수증기의 양과 내구성 시험에서 효과적인 흡수 사이의 비율을 나타냅니다. 물 투과성 지수 I는 절연 유리 밀봉 시스템의 잔류 흡착 용량 및 예상 수명을 반영 할 수 있습니다. 절연 유리 시스템을 종합적으로 평가할 수 있어야합니다. I 값이 작을수록, 절연 유리의 잔류 흡착 용량이 커지고, 밀봉 수명이 길어진다.
국립 유리 품질 감독 및 검사 센터는 지난 2 년 동안 중국에서 300 개 이상의 절연 유리 수증기 씰의 내구성 테스트 결과에 대한 통계 분석을 수행했습니다. I 값의 분포를 도 12 에 나타낸다. I 값의 중앙값은 15% 에 가깝고, I 값의 약 15% 20% 보다 크다.

그림 12 국내 절연 유리의 가치 통계
금세기 초, 유럽 절연 유리 협회 UNI는 유럽 절연 유리 제품의 수증기 밀봉 내구성 테스트 결과를 통계적으로 분석했습니다 (그림 13 에 표시됨). 도 13 으로부터, 중앙값은 4% 와 5% 사이에 있다는 것을 알 수 있다. 두 가지 통계적 결과로부터, 국내 절연 유리의 전체 밀봉 수명과 외부 절연 유리의 밀봉 수명 사이에는 여전히 큰 차이가 있음을 알 수 있다.

그림 13 UNI 유럽 절연 유리의 가치 통계
최근 2 년 동안 패시브 룸의 유리 품질도 많은 관심을 끌었습니다. 표 3 은 최근 몇 년 동안 3 개의 유리 및 2 개의 공동 절연 유리의 수증기 밀봉 내구성에 대한 국가 유리 품질 감독 및 검사 센터의 시험 결과를 나타낸다. 표 3 에서 다른 기업에서 생산 된 절연 유리의 품질 갭이 상대적으로 크고 전체 품질 수준이 여전히 개선되어야한다는 것을 알 수 있습니다. 이러한 유리가 수동 건물에 적용되면 건물과 동일한 수명의 요구 사항을 충족시키지 못합니다. 이 문제를 해결하려면 재료와 공정으로 시작하고보다 진보 된 밀봉 구조를 찾아야합니다.
아니오 | 유리 구성 | Ti | Tf | 이브 |
1 | 3 유리 2 공동 | 0.027 | 0.0537 | 0.161 |
2 | 진공 IGU | 0.0418 | 0.0494 | 0.05 |
3 | 3 유리 2 공동 | 0.0286 | 0.0492 | 0.125 |
4 | 진공 IGU | 0.035 | 0.0529 | 0.128 |
5 | 3 유리 2 공동 | 0.021 | 0.0466 | 0.14 |
6 | 3 유리 2 공동 | 0.018 | 0.0591 | 0.233 |
최초의 열가소성 스페이서 스트립 (TPS) 절연 유리 시스템은 1974 년 Komelin에서 태어났습니다. 산업 생산은 1990 년대부터 이루어졌습니다. 현재 전 세계에 100 개 이상의 TPS 생산 라인이 있습니다. 또한 중국에서 작동하는 열가소성 스페이서 TPS 절연 유리의 여러 생산 라인이 있습니다. T그는 초기 생산 라인이 2011 년에 생산에 투입되었습니다. 열가소성 스페이서 단열 유리 및 구조 강도를 가진 차세대 TPS 제품 4SG 는 구조용 커튼 월, 상업용 건물, 주거용 건물, 버스, 자동차 및 기타 분야에 사전 인식되어 적용되었습니다.
처음부터 열가소성 스페이서 스트립 (TPS) 시스템은 일본 JIS R3209 절연 유리를 포함하여 전 세계 여러 국가에서 관련 표준의 검사 및 인증을 통과했습니다. 절연 유리의 수증기 침투를 위한 유럽 표준 EN1279-2 장기 시험 방법, 절연 유리의 가스 투과를위한 유럽 표준 EN1279-3 장기 시험 방법 유리 가장자리 씰링의 물리적 특성에 대한 유럽 표준 EN1279-4 시험 방법, 북미 ASTM773/774, 프랑스 NFP78-451/452, 이탈리아 UNI10593, 독일 DIN1286 및 기타 표준.
이 밀봉 시스템의 절연 유리는 또한 연간 아르곤 누출 율이 0.4% ~ 0.5% 인 EN1279.3 의 가스 유지 테스트를 통과하는 최초의 3 개의 유리 2 공동 절연 유리 시스템입니다.
열가소성 스페이서 시스템의 절연 유리의 성능을 연구하고 분석하고 내구성에 대한 장점을 확인하기 위해, 국립 유리 품질 감독 및 검사 센터는 Kemelin Company에서 생산 한 열가소성 스페이서 4SG 제품을 선택하고 Dow Corning 실리콘 구조 접착제를 외부 실란트로 사용했습니다. 그리고 팽창식 절연 유리 샘플을 생산하기 위해 100 울트라 완전 자동 생산 라인을 사용했습니다. GB/T11944-2012 표준에서의 수증기 밀봉 내구성 및 가스 밀봉 내구성에 따라, 각각 5 개의 표준 사이클을 시험하였다.
(1) 수증기 씰의 내구성
각 사이클의 테스트는 고온 및 저온 교류 사이클과 일정한 온도 및 습도로 구성됩니다. 1 단계: 56 주기, 12 시간마다 하나의 온도주기, 온도 범위는-18 ℃ ± 2 ℃ ~ 53 ℃ ± 1 ℃; 2 단계: 주변 온도 58 ℃ ± 1 ℃ 및 95% 보다 큰 상대 습도는 7 주 동안 유지되고, 각 주기는 77 일 (도 14 에 나타낸 바와 같이).

그림 14 물 증기 씰 내구성 사이클
이 시험에서, 5 개의 그룹의 샘플을 에이징 테스트 챔버에 넣는다. 각 사이클 후, 최종 수분 함량 시험을 위해 하나의 그룹을 꺼내고, I 값을 계산한다. 접합 결과에 대해서는 표 4 를 참조한다.
(2) 가스 씰 내구성
먼저, 내구성 시험을 위한 절연 유리의 초기 아르곤 함량을 시험하고, 그 결과를 표 5 에 나타낸다.
표 4 열가소성 스페이서 스트립 (4SG) 5 사이클의 내구성 시험 결과

표 5 샘플의 초기 아르곤 함량의 시험 결과
샘플 번호 | 초기 아르곤 함량 (% V/V) |
1 # | 93.7% |
2 # | 93% |
둘째로, GB/T11944-2012 시험 방법에 따라, 샘플을 5 주기 동안 시험하고, 각 사이클 후에 아르곤 함량을 시험하였다. 시험 결과에 대해서는 표 6 을 참조한다.
표 6 노화 후 샘플의 아르곤 함량 시험 결과
사이클 | 샘플 번호 | 최종 아르곤 함량 (% V/V) |
1 주기 | 1 # | 92 점 8 |
2 # | 92 점 2 | |
2 주기 | 1 # | 91 점 9 |
2 # | 91 점 3 | |
3 주기 | 1 # | 91 점 2 |
2 # | 90 점 5 | |
4 주기 | 1 # | 90 점 4 |
2 # | 87 점 7 | |
5 주기 | 1 # | 89 점 6 |
2 # | 여든 |
테스트 결과로부터, 열가소성 스페이서 스트립 (4SG) 의 절연 유리의 물 투과성 지수 및 아르곤 함량 시스템은 5 번의 노화 사이클 후에도 여전히 국가 표준의 요구 사항을 충족시킬 수 있습니다. 5 주기 후 물 투과성 지수의 테스트 결과는 중국의 전통적인 밀봉 구조의 현재 표준주기의 테스트 결과보다 낫습니다. 가스 함량은 약 4% 만 감소했습니다. 이 시스템에서 절연 유리의 수명은 중국의 현재 주류 밀봉 구조 절연 유리의 수명보다 훨씬 길다는 것을 나타냅니다.
이론적 분석으로부터 시험 결과에 이르기까지, 열가소성 스페이서 스트립 (TPS) 은 절연 유리 에지 밀봉 재료의 새로운 세대임을 알 수 있다. 이 절연 유리 시스템은 절연 유리의 밀봉 수명을 향상시키고 단열 유리의 가장자리 효과를 향상시킬 수 있습니다. 그러나 현재, 열가소성 스페이서 밀봉 재료와 밀봉 구조가있는 절연 유리를 생산하기위한 자동 생산 설비가 모두 수입됩니다. 그리고 가격은 열가소성 스페이서 (TPS) 절연 유리의 대중화 및 적용을 제한하는 주된 이유 중 하나입니다. 현재 중국은 여전히 장비 연구 개발 및 재료 연구 단계에 있으며 산업 생산을 실현하지 못했습니다. 열가소성 스페이서 절연 유리의 우수한 성능에 대한 사람들의 이해가 증가하고 국내 연구 및 산업화 수준이 더욱 향상됨에 따라 그 적용 전망은 점점 더 광범위 할 것입니다.
참조:
[1] 진황도 유리 산업 연구 및 디자인 연구소, 유리 (GB/T11944-2012), 중국 표준 프레스.
[2] Dr. Christian Scherer, Ernst Smar 등, 우수한 에너지 효율과 내구성을 갖춘 새로운 따뜻한 가장자리 시스템, GPD 유리 성능 일 2015 。
[3] Li Jing, 커튼 월 4SG 를위한 혁신적인 스페이서 실링 시스템, 2017 중국 유리 연례 회의 연설.
[4] Yuan Peifeng, et al., 열가소성 따뜻한 가장자리 절연 유리의 성능 장점, 2017 중국 유리 산업 연례 회의 및 기술 세미나.